Computer >> कंप्यूटर ट्यूटोरियल >  >> प्रोग्रामिंग >> प्रोग्रामिंग

प्रोग्रामिंग

  1. डेटा संरचनाओं में एक सरणी पर संचालन

    यहां हम सरणी डेटा संरचना के कुछ बुनियादी संचालन देखेंगे। ये ऑपरेशन हैं - ट्रैवर्स सम्मिलन हटाना खोज अपडेट करें ट्रैवर्स एक सरणी के सभी तत्वों को स्कैन कर रहा है। इन्सर्ट ऑपरेशन किसी ऐरे में दिए गए स्थान पर कुछ एलिमेंट जोड़ रहा है, डिलीट एलिमेंट को एरे से हटा रहा है और डिलीट करने के बाद अन्य एलिमे

  2. डेटा संरचनाओं में बाइनरी ट्री प्रतिनिधित्व

    यहां हम देखेंगे कि कंप्यूटर मेमोरी में बाइनरी ट्री का प्रतिनिधित्व कैसे किया जाता है। प्रतिनिधित्व करने के दो अलग-अलग तरीके हैं। ये सरणी का उपयोग कर रहे हैं और लिंक्ड सूची का उपयोग कर रहे हैं। मान लीजिए हमारे पास एक ऐसा पेड़ है - सरणी प्रतिनिधित्व स्तर क्रम फैशन का उपयोग करके तत्वों को स्कैन करक

  3. डेटा संरचनाओं में बाइनरी पेड़ और गुण

    इस खंड में हम एक बाइनरी ट्री डेटा संरचना के कुछ महत्वपूर्ण गुण देखेंगे। मान लीजिए हमारे पास इस तरह का एक बाइनरी ट्री है। कुछ गुण हैं - स्तर l पर नोड्स की अधिकतम संख्या $2^{l-1}$ होगी। यहां स्तर रूट से नोड तक पथ पर नोड्स की संख्या है, जिसमें रूट भी शामिल है। हम विचार कर रहे हैं कि जड़ का स्तर 1 ह

  4. डेटा संरचनाओं में बाइनरी ट्री ट्रैवर्सल

    इस खंड में हम बाइनरी सर्च ट्री में मौजूद ट्रैवर्स कीज़ के लिए अलग-अलग ट्रैवर्सल एल्गोरिदम देखेंगे। ये ट्रैवर्सल इनऑर्डर ट्रैवर्सल, प्रीऑर्डर ट्रैवर्सल, पोस्टऑर्डर ट्रैवर्सल और लेवल ऑर्डर ट्रैवर्सल हैं। मान लीजिए हमारे पास एक ऐसा पेड़ है - इनऑर्डर ट्रैवर्सल अनुक्रम इस तरह होगा - 5 8 10 15 16 20 2

  5. डेटा संरचनाओं में लेवल ऑर्डर ट्री ट्रैवर्सल

    इस खंड में हम बाइनरी सर्च ट्री के लिए लेवल-ऑर्डर ट्रैवर्सल तकनीक देखेंगे। मान लीजिए हमारे पास एक ऐसा पेड़ है - ट्रैवर्सल अनुक्रम इस प्रकार होगा:10, 5, 16, 8, 15, 20, 23 एल्गोरिदम levelOrderTraverse(root): Begin    define queue que to store nodes    insert root into the que. &

  6. डेटा संरचनाओं में पोस्टऑर्डर ट्री ट्रैवर्सल

    इस खंड में हम बाइनरी सर्च ट्री के लिए पोस्ट-ऑर्डर ट्रैवर्सल तकनीक (रिकर्सिव) देखेंगे। मान लीजिए हमारे पास एक ऐसा पेड़ है - ट्रैवर्सल अनुक्रम इस प्रकार होगा:8, 5, 15, 23, 20, 16, 10 एल्गोरिदम postorderTraverse(root): Begin    if root is not empty, then       postorderTrav

  7. डेटा संरचनाओं में ट्री ट्रैवर्सल को प्रीऑर्डर करें

    इस खंड में हम बाइनरी सर्च ट्री के लिए प्री-ऑर्डर ट्रैवर्सल तकनीक (रिकर्सिव) देखेंगे। मान लीजिए हमारे पास एक ऐसा पेड़ है - ट्रैवर्सल अनुक्रम इस प्रकार होगा:10, 5, 8, 16, 15, 20, 23 एल्गोरिदम preorderTraverse(root):यदि रूट खाली नहीं है तो शुरू करें, फिर रूट प्रीऑर्डर ट्रैवर्सल (रूट के बाएं) प्रीऑर

  8. डेटा संरचनाओं में बाइनरी सर्च ट्री

    बाइनरी सर्च ट्री बाइनरी ट्री होते हैं जिनमें कुछ गुण होते हैं। ये गुण नीचे की तरह हैं - हर बाइनरी सर्च ट्री एक बाइनरी ट्री है हर बायां बच्चा रूट से कम मान रखेगा हर सही बच्चे का मूल से अधिक महत्व होगा आदर्श बाइनरी सर्च ट्री दो बार समान मान नहीं रखेगा। मान लीजिए हमारे पास एक ऐसा पेड़ है - यह ट्र

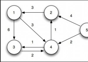
  9. रेखांकन और इसके ट्रैवर्सल एल्गोरिदम

    इस खंड में हम देखेंगे कि ग्राफ़ डेटा संरचना क्या है, और इसके ट्रैवर्सल एल्गोरिदम क्या हैं। ग्राफ एक गैर-रेखीय डेटा संरचना है। इसमें कुछ नोड्स और उनके जुड़े हुए किनारे होते हैं। किनारे निर्देशक या अप्रत्यक्ष हो सकते हैं। इस ग्राफ को G(V, E) के रूप में दर्शाया जा सकता है। निम्नलिखित ग्राफ को जी ({ए,

  10. डेटा संरचनाओं में डीएफएस और बीएफएस के अनुप्रयोग

    यहां हम देखेंगे कि ग्राफ के डीएफएस और बीएफएस एल्गोरिदम के विभिन्न अनुप्रयोग क्या हैं? DFS या डेप्थ फर्स्ट सर्च का इस्तेमाल अलग-अलग जगहों पर किया जाता है। कुछ सामान्य उपयोग हैं - यदि हम भार रहित ग्राफ पर डीएफएस करते हैं, तो यह सभी जोड़ी सबसे छोटे पथ वृक्ष के लिए न्यूनतम फैले हुए वृक्ष का निर्माण कर

  11. डेटा संरचनाओं में न्यूनतम फैले हुए पेड़

    एक फैला हुआ पेड़ अप्रत्यक्ष ग्राफ़ का एक उपसमुच्चय है जिसमें सभी शीर्ष किनारों की न्यूनतम संख्या से जुड़े होते हैं। यदि सभी कोने एक ग्राफ में जुड़े हुए हैं, तो कम से कम एक फैले हुए पेड़ मौजूद हैं। ग्राफ़ में, एक से अधिक फैले हुए वृक्ष हो सकते हैं। न्यूनतम फैले हुए पेड़ एक न्यूनतम स्पैनिंग ट्री (MS

  12. डेटा संरचनाओं में बर्नौली वितरण

    बर्नौली वितरण एक असतत वितरण है जिसमें x =0 और x =1 द्वारा लेबल किए गए दो संभावित परिणाम हैं। x =1 सफलता है, और x =0 विफलता है। सफलता प्रायिकता p के साथ होती है, और विफलता प्रायिकता q के साथ q =1 - p के रूप में होती है। तो $$P\lgroup x\rgroup=\start{cases}1-p\:for &x =0\\p\:for &x =0\end{cases}$$ इ

  13. डेटा संरचनाओं में द्विपद वितरण

    द्विपद बंटन एक असतत प्रायिकता बंटन Pp(n | N) है जिसमें N Bernoulli ट्रेल्स से n सफलताएँ प्राप्त होती हैं (x =0 और x =1 द्वारा लेबल किए गए दो संभावित परिणाम हैं। x =1 सफलता है, और x =0 है विफलता। सफलता प्रायिकता p के साथ होती है, और विफलता प्रायिकता q के साथ q =1 - p के रूप में होती है। इसलिए द्विपद

  14. डेटा संरचनाओं में ज्यामितीय वितरण

    ज्यामितीय वितरण n =0, 1, 2,… के लिए एक असतत संभाव्यता वितरण है। संभाव्यता घनत्व समारोह होने। $$P\lgroup n\rgroup=p\lgroup1-p\rgroup^{n}$$ वितरण कार्य है - $$D\lgroup n\rgroup=\displaystyle\sum\limits_{i=0}^n P\lgroup i \rgroup=1-q^{n+1}$$ उदाहरण #include <iostream> #include <random> u

  15. डेटा संरचनाओं में नकारात्मक द्विपद वितरण

    ऋणात्मक द्विपद वितरण एक यादृच्छिक संख्या वितरण है जो एक ऋणात्मक द्विपद असतत वितरण के अनुसार पूर्णांक उत्पन्न करेगा। इसे पास्कल वितरण के रूप में जाना जाता है इसलिए ऋणात्मक द्विपद बंटन को इस प्रकार लिखा जा सकता है $$P\lgroup i\arrowvert k,p\rgroup=\lgroup \frac{k+i-1}{i}\rgroup p^{k}\lgroup 1-p\rgrou

  16. डेटा संरचनाओं में इष्टतम बाइनरी सर्च ट्री

    पूर्णांकों का एक सेट क्रमबद्ध क्रम में दिया जाता है और आवृत्ति गणना के लिए एक और सरणी फ़्रीक दिया जाता है। हमारा काम सभी खोजों के लिए न्यूनतम लागत खोजने के लिए उन डेटा के साथ एक बाइनरी सर्च ट्री बनाना है। उप समस्याओं के समाधान को हल करने और संग्रहीत करने के लिए एक सहायक सरणी लागत [एन, एन] बनाई गई ह

  17. डेटा संरचनाओं में उत्तल हल उदाहरण

    यहां हम उत्तल पतवार पर एक उदाहरण देखेंगे। मान लीजिए कि हमारे पास बिंदुओं का एक सेट है। हमें कम अंक लेकर एक बहुभुज बनाना है, जो सभी दिए गए बिंदुओं को कवर करेगा। इस खंड में हम उत्तल पतवार प्राप्त करने के लिए जार्विस मार्च एल्गोरिथम देखेंगे। जार्विस मार्च एल्गोरिथ्म का उपयोग डेटा बिंदुओं के दिए गए सेट

  18. डेटा संरचनाओं में स्टैक एडीटी

    सार डेटाटाइप विशेष प्रकार का डेटाटाइप है, जिसका व्यवहार मूल्यों के एक सेट और संचालन के सेट द्वारा परिभाषित किया जाता है। कीवर्ड एब्सट्रैक्ट का उपयोग किया जाता है क्योंकि हम इन डेटाटाइप्स का उपयोग कर सकते हैं, हम विभिन्न ऑपरेशन कर सकते हैं। लेकिन वे ऑपरेशन कैसे काम कर रहे हैं जो यूजर से पूरी तरह छुपा

  19. डेटा संरचनाओं में खोज विधियों की तुलना

    अलग-अलग मामलों में, हम कुछ चाबियों को खोजने के लिए अलग-अलग खोज योजनाएं करते हैं। इस खंड में हम देखेंगे कि दो खोज तकनीकों, अनुक्रमिक खोज और द्विआधारी खोज के बीच मूलभूत अंतर क्या हैं। अनुक्रमिक खोज द्विआधारी खोज समय जटिलता O(n) है समय जटिलता O(log n) है स्थिर समय में पहले स्थान पर मौजूद कुंजी को ढू

  20. डेटा संरचनाओं में छँटाई विधियों की तुलना

    यहां हम कुछ छँटाई के तरीके देखेंगे। 200+ छँटाई तकनीकें हैं। हम उनमें से कुछ को देखेंगे। कुछ छँटाई तकनीक तुलना आधारित छँटाई हैं, कुछ गैर-तुलना आधारित छँटाई तकनीक हैं। तुलना आधारित सोरिंग तकनीकें बबल सॉर्ट, सिलेक्शन सॉर्ट, इंसर्शन सॉर्ट, मर्ज सॉर्ट, क्विकसॉर्ट, हीप सॉर्ट आदि हैं। इन तकनीकों को तुलना

Total 1466 -कंप्यूटर  FirstPage PreviousPage NextPage LastPage CurrentPage:2/74  20-कंप्यूटर/Page Goto:1 2 3 4 5 6 7 8