ग्राफ की कनेक्टिविटी की जांच करने के लिए, हम किसी भी ट्रैवर्सल एल्गोरिदम का उपयोग करके सभी नोड्स को पार करने का प्रयास करेंगे। ट्रैवर्सल को पूरा करने के बाद, यदि कोई नोड है, जिसे नहीं देखा गया है, तो ग्राफ़ कनेक्ट नहीं होता है।

निर्देशित ग्राफ के लिए, हम कनेक्टिविटी की जांच के लिए सभी नोड्स से ट्रैवर्सिंग शुरू करेंगे। कभी-कभी एक किनारे में केवल बाहरी किनारा हो सकता है लेकिन कोई अंदरूनी किनारा नहीं हो सकता है, जिससे कि नोड किसी अन्य प्रारंभिक नोड से नहीं जा सकता है।
इस मामले में ट्रैवर्सल एल्गोरिथम पुनरावर्ती डीएफएस ट्रैवर्सल है।
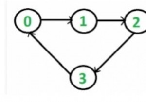
इनपुट − ग्राफ का एडजेंसी मैट्रिक्स
| 0 | 1 | 0 | 0 | 0 |
| 0 | 0 | 1 | 0 | 0 |
| 0 | 0 | 0 | 1 | 1 |
| 1 | 0 | 0 | 0 | 0 |
| 0 | 1 | 0 | 0 | 0 |
आउटपुट - ग्राफ जुड़ा हुआ है।
एल्गोरिदम
traverse(u, visited) Input: The start node u and the visited node to mark which node is visited. Output: Traverse all connected vertices. Begin mark u as visited for all vertex v, if it is adjacent with u, do if v is not visited, then traverse(v, visited) done End isConnected(graph) Input: The graph. Output: True if the graph is connected. Begin define visited array for all vertices u in the graph, do make all nodes unvisited traverse(u, visited) if any unvisited node is still remaining, then return false done return true End
उदाहरण
#include<iostream>
#define NODE 5
using namespace std;
int graph[NODE][NODE] = {{0, 1, 0, 0, 0},
{0, 0, 1, 0, 0},
{0, 0, 0, 1, 1},
{1, 0, 0, 0, 0},
{0, 1, 0, 0, 0}
};
void traverse(int u, bool visited[]){
visited[u] = true; //mark v as visited
for(int v = 0; v<NODE; v++){
if(graph[u][v]){
if(!visited[v])
traverse(v, visited);
}
}
}
bool isConnected(){
bool *vis = new bool[NODE];
//for all vertex u as start point, check whether all nodes are visible or not
for(int u; u < NODE; u++){
for(int i = 0; i<NODE; i++)
vis[i] = false; //initialize as no node is visited
traverse(u, vis);
for(int i = 0; i<NODE; i++){
if(!vis[i]) //if there is a node, not visited by traversal, graph is not connected
return false;
}
}
return true;
}
int main(){
if(isConnected())
cout << "The Graph is connected.";
else
cout << "The Graph is not connected.";
} आउटपुट
The Graph is connected.