Computer >> कंप्यूटर ट्यूटोरियल >  >> प्रोग्रामिंग >> Python

एक पहचान मैट्रिक्स मुद्रित करने के लिए पायथन कार्यक्रम

जब पहचान मैट्रिक्स को प्रिंट करने की आवश्यकता होती है, तो नेस्टेड लूप का उपयोग किया जा सकता है।

नीचे उसी के लिए एक प्रदर्शन है -

उदाहरण

n = 4
print("The value of n has been initialized to " +str(n))
for i in range(0,n):
   for j in range(0,n):
      if(i==j):
         print("1",sep=" ",end=" ")
      else:
         print("0",sep=" ",end=" ")
   print()

आउटपुट

The value of n has been initialized to 4
1 0 0 0
0 1 0 0
0 0 1 0
0 0 0 1

स्पष्टीकरण

  • 'n' का मान इनिशियलाइज़ किया गया है।
  • एक 'फॉर' लूप 0 से 'n' तक चलता है।
  • एक और नेस्टेड 'फॉर' लूप फिर से 0 से 'n' तक चलता है।
  • अगर पहले और दूसरे 'फॉर' लूप में वेरिएबल बराबर हैं, तो '1' प्रिंट होता है।
  • अन्यथा, यदि वे समान नहीं हैं, तो कंसोल पर '0' प्रिंट हो जाता है।

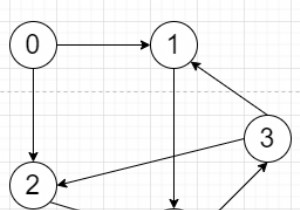
  1. पायथन में वर्टेक्स-टू-वर्टेक्स रीचैब्लिटी मैट्रिक्स की गणना करने का कार्यक्रम पायथन में वर्टेक्स-टू-वर्टेक्स रीचैब्लिटी मैट्रिक्स की गणना करने का कार्यक्रम

    मान लीजिए कि हमारे पास एक आसन्न सूची प्रतिनिधित्व के रूप में एक ग्राफ है, हमें 2D मैट्रिक्स M ढूंढना होगा जहां M[i, j] =1 जब शीर्ष i और j के बीच पथ हो। एम [आई, जे] =0 अन्यथा। तो, अगर इनपुट पसंद है तो आउटपुट होगा 1 1 1 1 1 0 1 1 1 1 0 1 1 1 1 0 1 1 1 1 0 1 1 1 1 इसे हल करने के लिए

  1. - दो मैट्रिक्स का पायथन प्रोग्राम जोड़

    दो उपयोगकर्ता इनपुट मैट्रिक्स को देखते हुए। हमारा काम दो मैट्रिक्स के जोड़ को प्रदर्शित करना है। इन समस्याओं में हम नेस्टेड सूची का व्यापक उपयोग करते हैं। एल्गोरिदम Step1: input two matrix. Step 2: nested for loops only to iterate through each row and columns. Step 3: At each iterationshall add the

  1. - दो मैट्रिक्स का पायथन प्रोग्राम गुणन।

    दो उपयोगकर्ता इनपुट मैट्रिक्स को देखते हुए। हमारा काम दो मैट्रिक्स के जोड़ को प्रदर्शित करना है। इन समस्याओं में हम नेस्टेड सूची का व्यापक उपयोग करते हैं। एल्गोरिदम Step1: input two matrix. Step 2: nested for loops to iterate through each row and each column. Step 3: take one resultant matrix which