Computer >> कंप्यूटर ट्यूटोरियल >  >> प्रोग्रामिंग >> Python

पायथन में K द्वारा विभाज्य सबसे छोटा पूर्णांक

मान लीजिए कि हमारे पास एक सकारात्मक पूर्णांक K है, हमें सबसे छोटा धनात्मक पूर्णांक N खोजने की आवश्यकता है, ताकि N, K से विभाज्य हो, और N में केवल अंक 1 हो। हमें N की लंबाई ज्ञात करनी है। यदि ऐसा कोई N नहीं है, तो वापस लौटें - 1. तो अगर इनपुट 3 जैसा है, तो आउटपुट 3 होगा। सबसे छोटा उत्तर N =111 होगा।

इसे हल करने के लिए, हम इन चरणों का पालन करेंगे -

  • यदि k सम है, या k 5 से विभाज्य है, तो -1 लौटाएं
  • आर सेट करें:=0 और एन =1
  • i के लिए 1 से K + 1 की श्रेणी में
    • r :=(r * 10 + 1) मॉड k
    • अगर r =0 है, तो मैं वापस आ जाता हूँ

आइए बेहतर समझ पाने के लिए निम्नलिखित कार्यान्वयन देखें -

उदाहरण

class Solution(object):
   def smallestRepunitDivByK(self, K):
      if K%2==0 or K%5 ==0:
         return -1
      r = 0
      N=1
      for i in range(1,K+1):
         r = (r*10 + 1)%K
         if r == 0:
            return i
ob = Solution()
print(ob.smallestRepunitDivByK(11))

इनपुट

11

आउटपुट

2

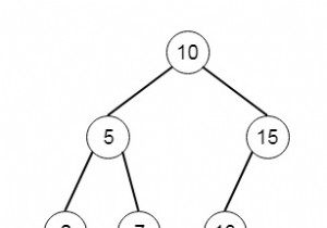
  1. पायथन में एक BST में Kth सबसे छोटा तत्व पायथन में एक BST में Kth सबसे छोटा तत्व

    मान लीजिए कि हमारे पास एक बाइनरी सर्च ट्री है। हमें उस BST में Kth सबसे छोटा तत्व खोजना है। तो अगर पेड़ जैसा है - तो अगर हम तीसरा सबसे छोटा तत्व खोजना चाहते हैं, तो k =3, और परिणाम 7 होगा। इसे हल करने के लिए, हम इन चरणों का पालन करेंगे - नोड्स नामक एक खाली सूची बनाएं कॉल सॉल्व (रूट, नोड्स) रिटर

  1. X . से विभाज्य K अंकों की सबसे छोटी संख्या के लिए पायथन प्रोग्राम X . से विभाज्य K अंकों की सबसे छोटी संख्या के लिए पायथन प्रोग्राम

    इस लेख में, हम दिए गए समस्या कथन को हल करने के लिए समाधान और दृष्टिकोण के बारे में जानेंगे। समस्या कथन पूर्णांक n और d दिए गए हैं। हमें d से विभाज्य सबसे छोटी n-अंकीय संख्या ज्ञात करनी होगी। दृष्टिकोण 1. पहले अब हम MIN की गणना करते हैं:सबसे छोटी n-अंकीय संख्या (1000...n-बार) 2. अब, यदि MIN % X, 0

  1. - पायथन में बिन ()

    बिन () फ़ंक्शन एक दशमलव को बाइनरी में परिवर्तित करता है। परिवर्तित किए जाने वाले पैरामीटर के रूप में आप धनात्मक या ऋणात्मक पूर्णांक का उपयोग कर सकते हैं। सिंटैक्स नीचे फ़ंक्शन का सिंटैक्स है। bin(n) Parameters : an integer to convert Return Value : A binary string of an integer or int object. Excep