Computer >> कंप्यूटर ट्यूटोरियल >  >> प्रोग्रामिंग >> Python

पायथन में के और -के

मान लीजिए कि हमारे पास संख्याओं की एक सूची है जिसे अंक कहा जाता है, हमें सबसे बड़ी संख्या k ज्ञात करनी है जहां kand -k दोनों अंकों में मौजूद हैं (वे एक ही संख्या हो सकती हैं)। अगर ऐसा कोई तत्व नहीं है, तो -1 लौटाएं।

इसलिए, अगर इनपुट [-5, 2, 9, -6, 5, -9] जैसा है, तो आउटपुट 9 होगा।

इसे हल करने के लिए, हम इन चरणों का पालन करेंगे -

  • L1:=0 की सूची और अंकों में सकारात्मक तत्व
  • L2:=0 की सूची और अंकों में नकारात्मक तत्व
  • L1 को उल्टे क्रम में क्रमित करें
  • सूची L2 को क्रमित करें
  • L1 में प्रत्येक i के लिए
      . करें
    • L2 में प्रत्येक j के लिए
        . करें
      • यदि i+j 0 के समान है, तो
        • वापसी मैं
      • अन्यथा जब i+j> 0 , तब
        • वर्तमान लूप से बाहर आएं
  • वापसी -1

आइए बेहतर समझ पाने के लिए निम्नलिखित कार्यान्वयन देखें -

उदाहरण

class Solution:
   def solve(self, nums):
      L1=[i for i in nums if i>=0]
      L2=[i for i in nums if i<=0]
      L1.sort(reverse=True)
      L2.sort()
      for i in L1:
         for j in L2:
            if i+j==0:
               return i
            elif i+j>0:
               break
      return -1
ob = Solution()
nums = [-5, 2, 9, -6, 5, -9]
print(ob.solve(nums))

इनपुट

[-5, 2, 9, -6, 5, -9]

आउटपुट

9

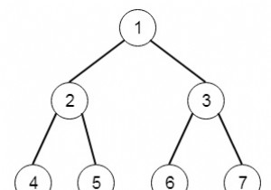
  1. पायथन में नोड्स और रिटर्न फॉरेस्ट हटाएं पायथन में नोड्स और रिटर्न फॉरेस्ट हटाएं

    मान लीजिए कि हमारे पास एक बाइनरी ट्री की जड़ है, पेड़ के प्रत्येक नोड का एक अनूठा मूल्य है। to_delete में मान वाले सभी नोड्स को हटाने के बाद, हमारे पास एक फ़ॉरेस्ट रह जाता है। हमें बचे हुए जंगल में पेड़ों की जड़ें ढूंढनी होंगी। तो अगर इनपुट पसंद है अगर to_delete सरणी [3,5] की तरह है, तो आउटपुट हो

  1. - पायथन में =+ और +=क्या करते हैं?

    +=ऑपरेटर ऑब्जेक्ट के लिए सिंटैक्टिक शुगर है।__iadd__() फ़ंक्शन। पायथन डॉक्स से: इन विधियों को संवर्धित अंकगणितीय असाइनमेंट को लागू करने के लिए कहा जाता है (+=, -=, *=, @=, /=, //=, %=, **=, =, &=, ^=, |=). इन विधियों को ऑपरेशन को जगह में करने का प्रयास करना चाहिए (स्वयं को संशोधित करना) और परिणाम व

  1. - हम एक स्ट्रिंग का मूल्यांकन कैसे करते हैं और पायथन में किसी ऑब्जेक्ट को वापस कैसे करते हैं?

    अंतर्निहित eval() फ़ंक्शन के लिए एक स्ट्रिंग तर्क की आवश्यकता होती है। हालाँकि, पायथन इंटरप्रेटर स्ट्रिंग को पायथन एक्सप्रेशन के रूप में मानता है और मूल्यांकन करता है कि क्या यह मान्य है और फिर एक्सप्रेशन के परिणामस्वरूप टाइप ऑब्जेक्ट लौटाता है। अंकगणितीय व्यंजक युक्त स्ट्रिंग >>> x=eval(&